PSM Public School PSM Public School
  • Mandatory Disclosure
  • PSM Public SchoolLogin
  • +91-9956637794
  • info@psmpublicschool.in
  • Home
  • About
    • About the School
    • Vision/Mission
    • Messages Desk
      • From the desk of the Director
      • From the desk of the Principal
    • Infrastructure/Facilities
    • TRANSPORT FACILITY
    • Inauguration of HRD Center
    • Teaching Staff
    • Non Teaching Staff
    • CLUB
    • TRUST
  • Academic
    • Academic Calendar
    • Library Rules
    • General Rules
    • Rules Concerning Absence
    • Recommendations to Guardians
  • Admission
    • Class Nursery to VIII Admission
    • Fee Details
    • Online Registration
  • Gallery
    • Photo Gallery
    • Video Gallery
  • Contact Us
  • Home
  • /
  • Disclosures

Disclosures

Mandatory Disclosure

BSA

Fee Structure

Infrastructure Details

No of Boys & Girls

DMC

PTA

WRITTEN DECLARATION FOR BOOK

NOC

TRUST DEED

CLASS-BOOK-LIST

Fire Certificate

HEALTH AND SANITATION

School Brief Summery

Affidavite

Board-Result

Building-Certificate

STAFF STATEMENT

SMC

Curriculum

Certificate of Land

TC Format

DEO

NO HOME WORK POLICY

REDRESSAL COMMITTEE

SHC FOR STUDENTS

SHC FOR WOMEN

Academic Calendar

ANTI BULLING COMMITTEE

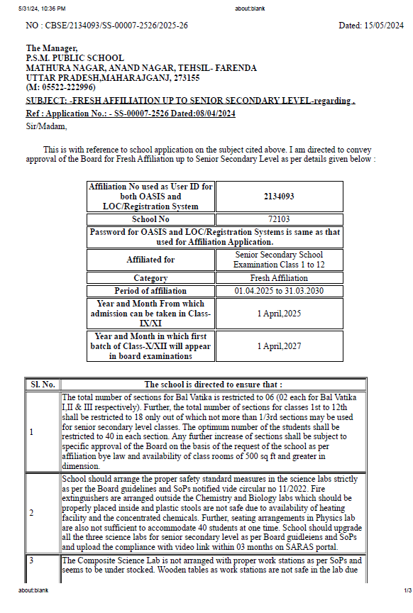
CBSE GRANT LETTER

PSM Public School

Download MS Team

Click here to download

  • PSM Public School

Quick Links

  • TC Form
  • School Rules
  • School Diary
  • Magazine
  • Vacancy
  • Feedback
  • Disclosures

© Copyright 2022-23 PSM Public School. All Rights Reserved. | Created By : Swarnim Soft Tech Solution

Hotline